Validación: pronósticos de Temperatura Superficial del Mar (TSM)

Error diario del pronóstico de Temperatura Superficial del Mar (TSM) para la región de Coquimbo

El mapa regional presenta el error promedio de los pronósticos diarios de TSM en relación a las mediciones satelitales durante los últimos dos meses de predicciones. Note que áreas con valores menores y mayores sólo indican un mejor o peor desempeño, respectivamente, sin precisar si el error corresponde a una sobre o subestimación.

Haz click en la imagen para verla en tamaño completo (se abrirá una nueva pestaña)

Sesgo diario del pronóstico de Temperatura Superficial del Mar (TSM) para la región de Coquimbo

El mapa regional presenta el desvío promedio de los pronósticos diarios de TSM en relación a las mediciones satelitales durante los últimos dos meses de predicciones. Note que áreas con valores positivos o negativos indican una sobre o subestimación de las predicciones, respectivamente.

Haz click en la imagen para verla en tamaño completo (se abrirá una nueva pestaña)

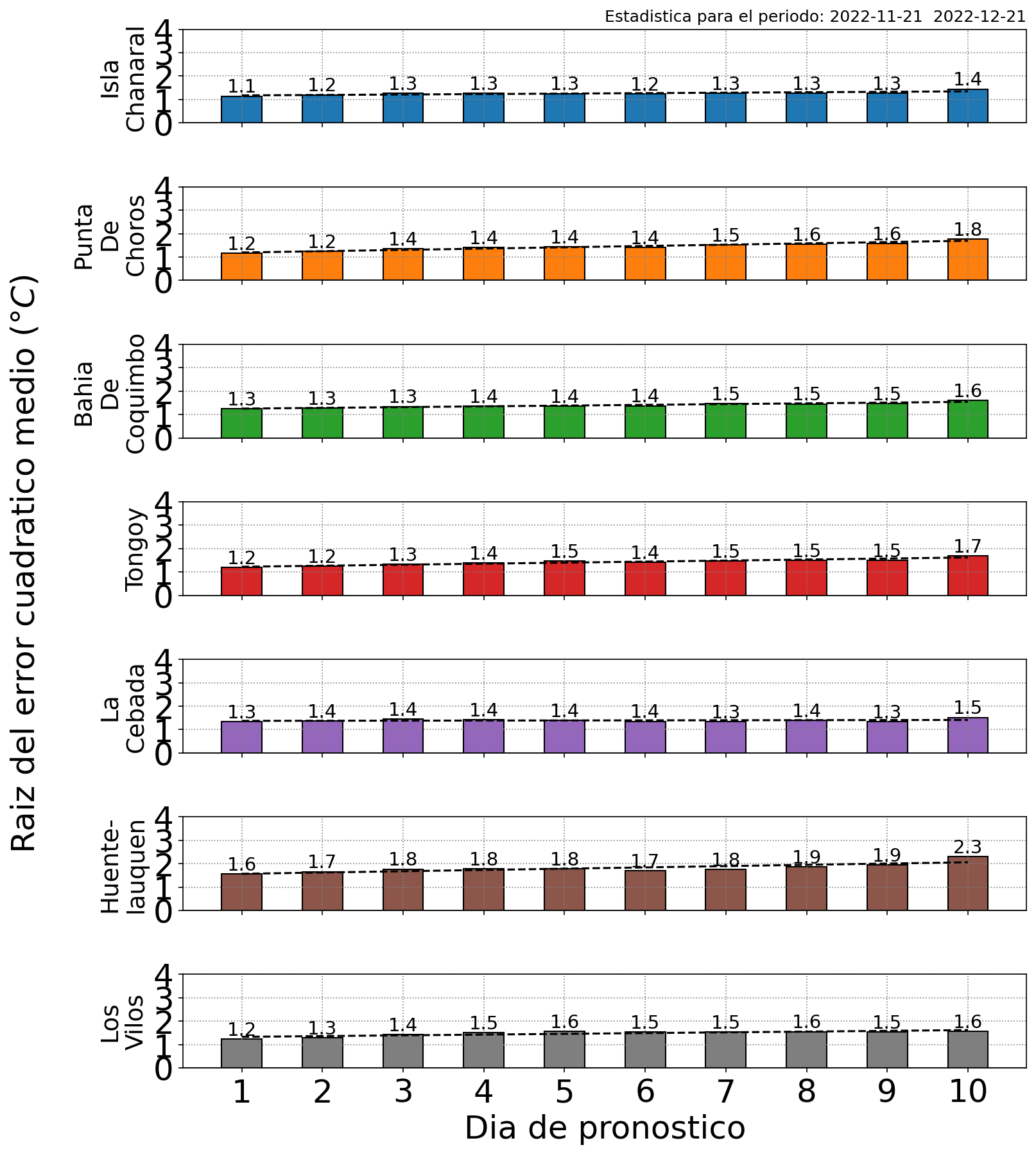
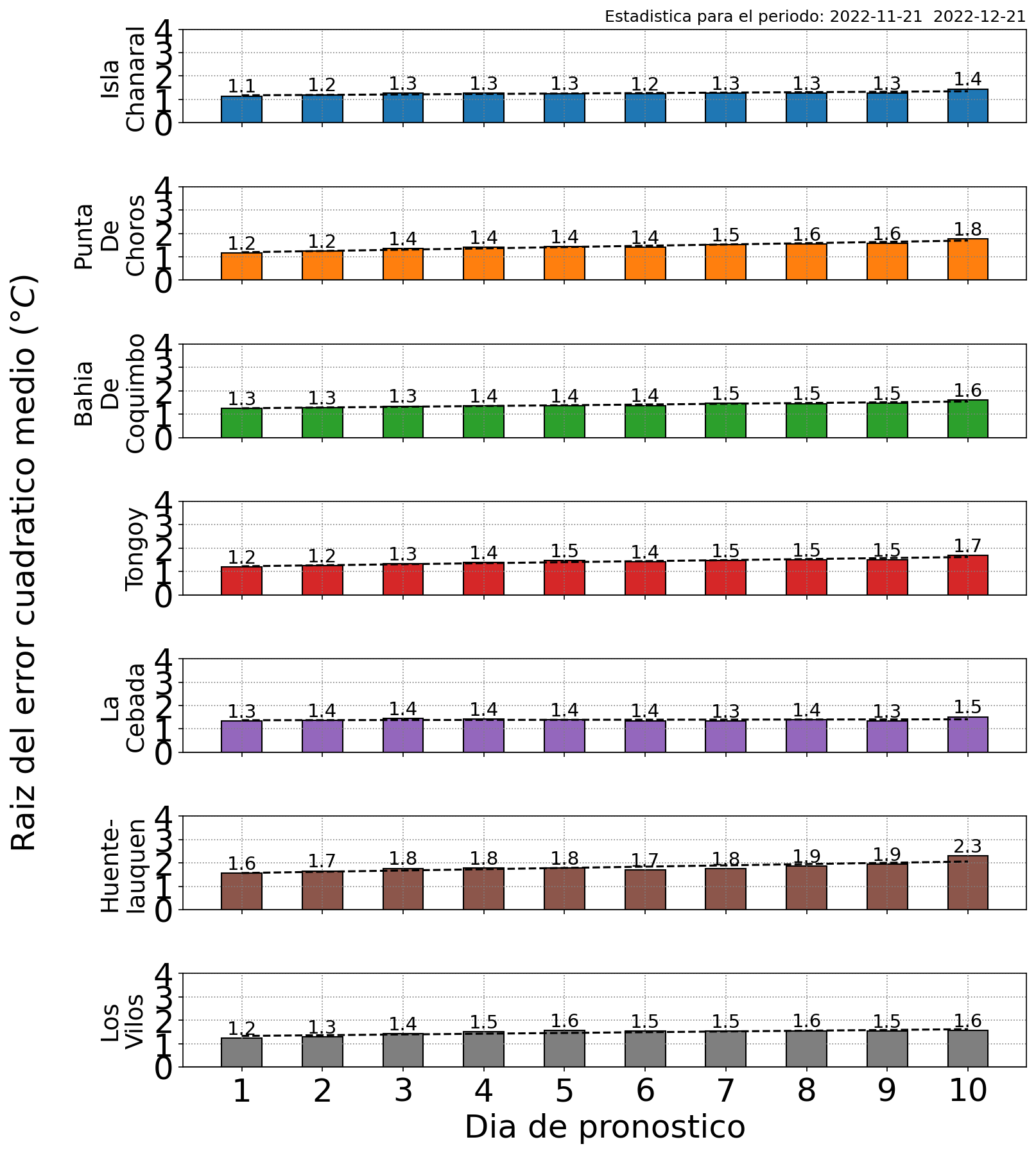
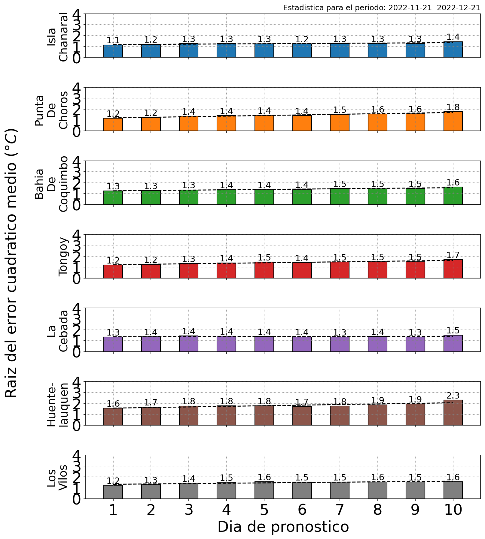
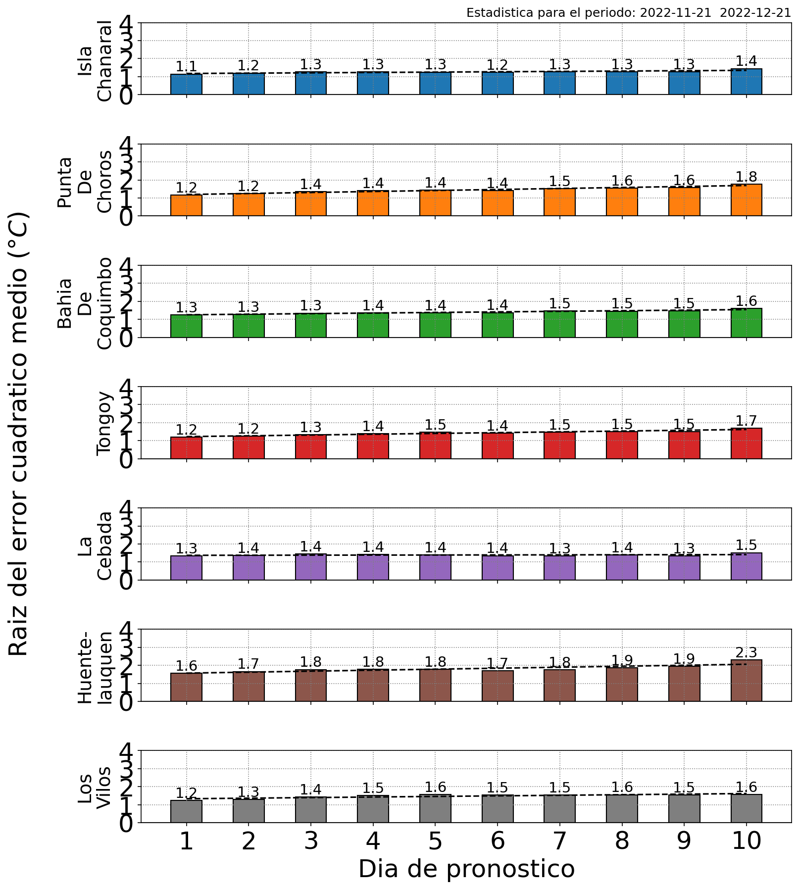
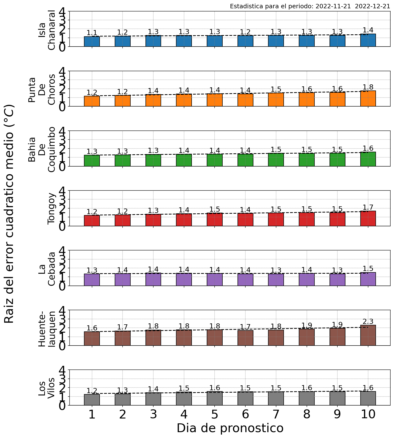
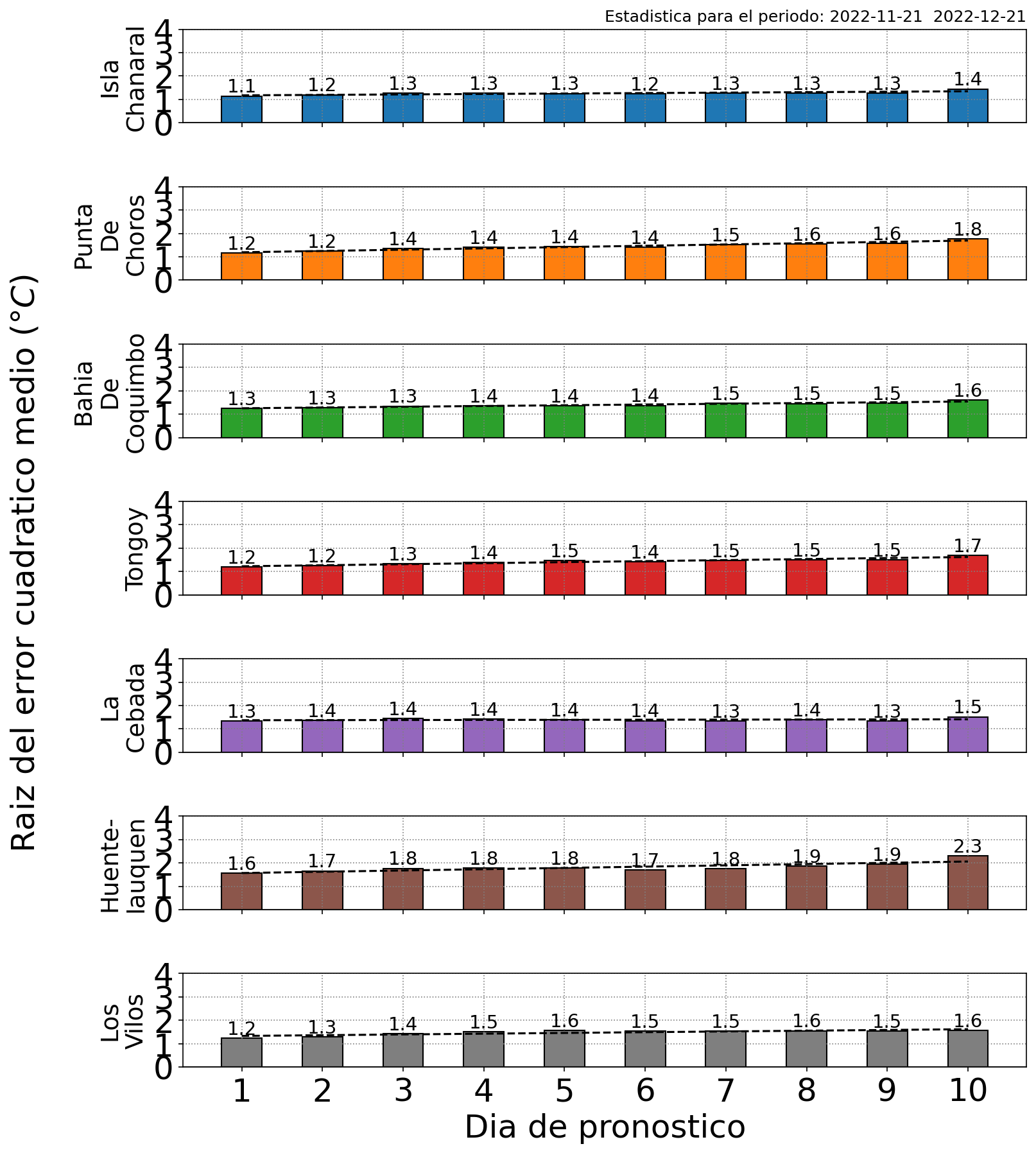
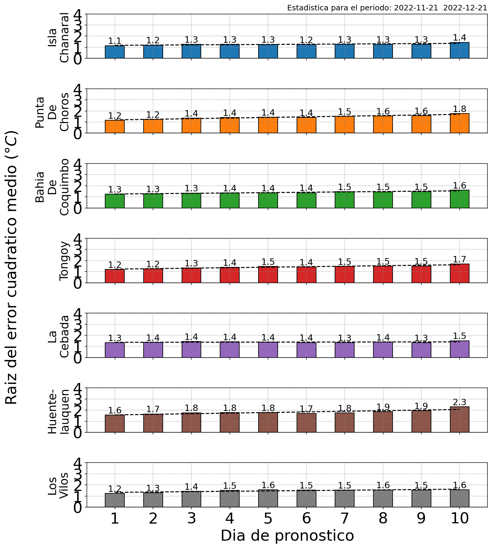
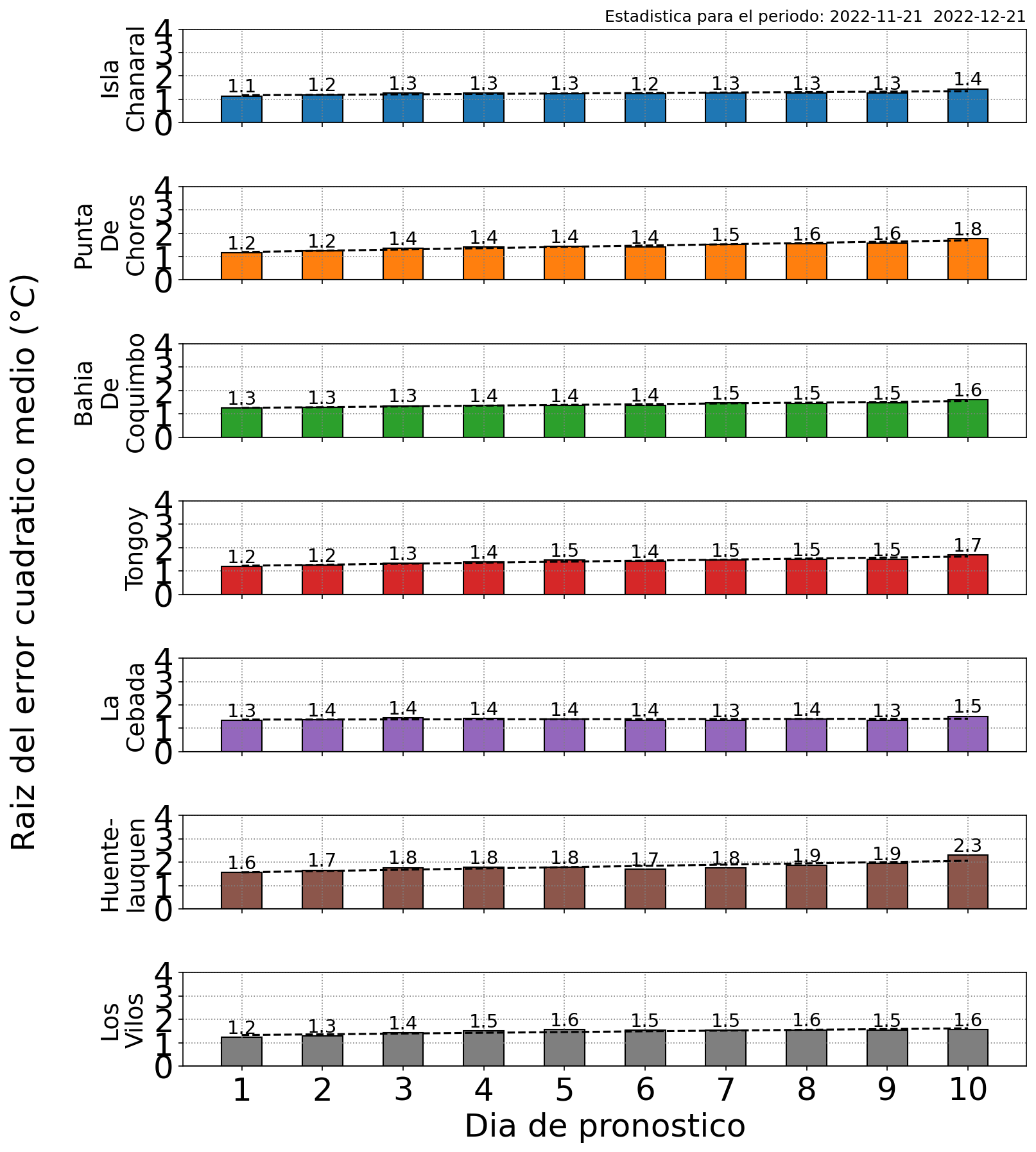
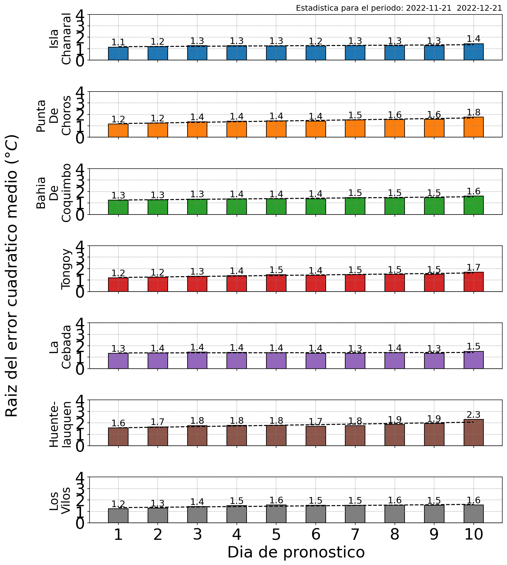
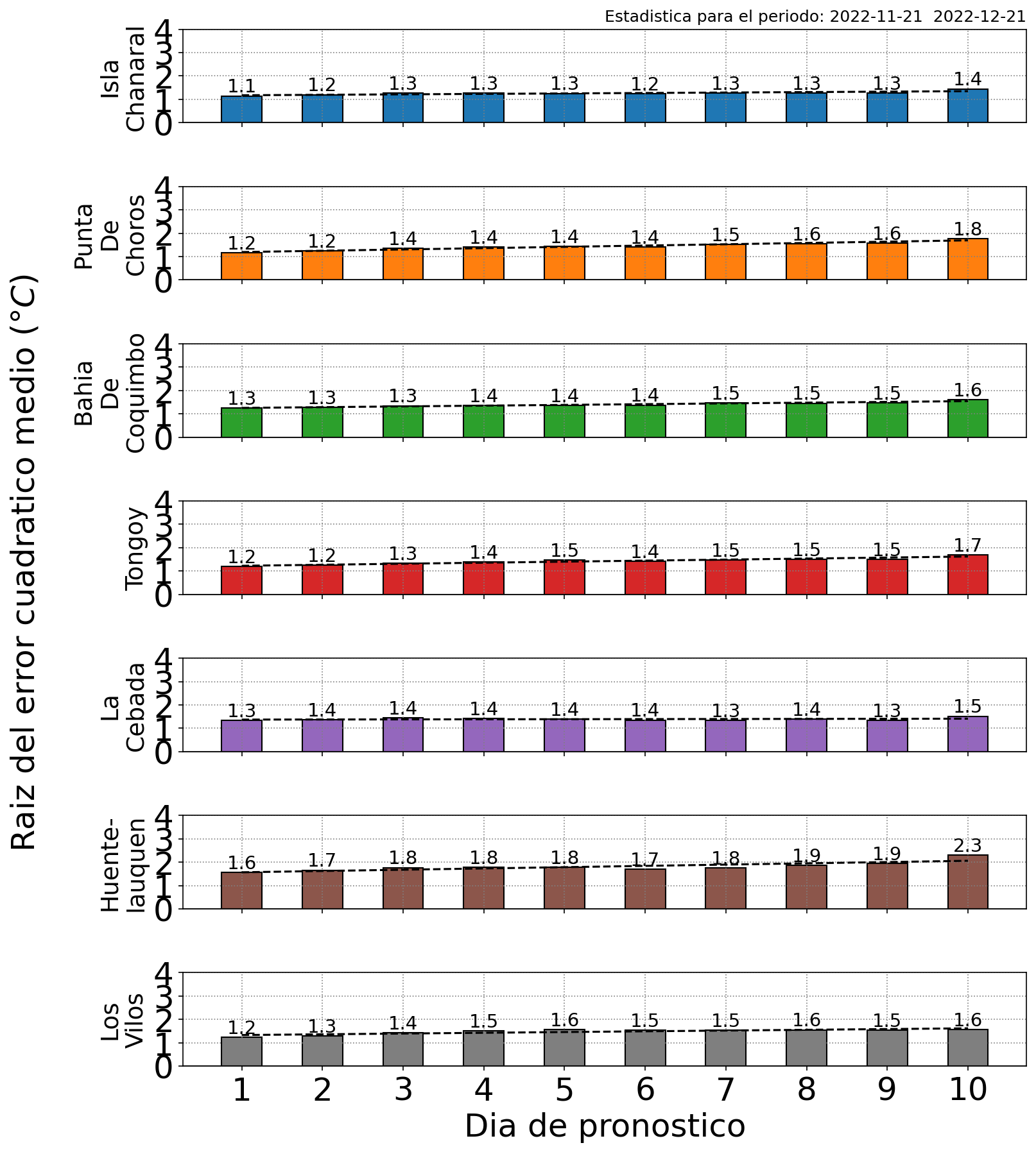
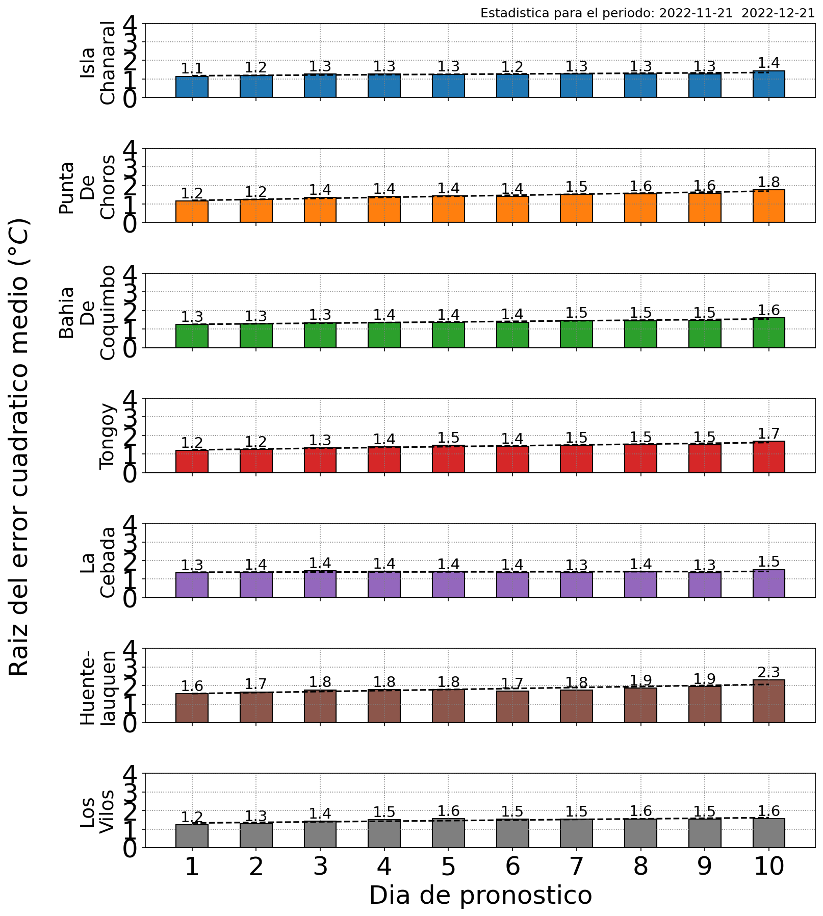
Error diario del pronóstico de Temperatura Superficial del Mar (TSM) para las localidades costeras

Los gráficos de barras presentan el error promedio de los pronósticos diarios de TSM para cada una de las localidades costeras en análisis. La estadística se construye en base a las mediciones satelitales de los últimos dos meses de predicciones.

Haz click en la imagen para verla en tamaño completo (se abrirá una nueva pestaña)