Validación: pronósticos de viento

Error diario del pronóstico de viento a 10 metros para la región de Coquimbo

El mapa regional presenta el error promedio de los pronósticos diarios de viento a 10 metros en relación a las mediciones satelitales durante los últimos dos meses de predicciones. Note que áreas con valores menores y mayores sólo indican un mejor o peor desempeño, respectivamente, sin precisar si el error corresponde a una sobre o subestimación.

Haz click en la imagen para verla en tamaño completo (se abrirá una nueva pestaña)

Sesgo diario del pronóstico de viento a 10 metros para la región de Coquimbo

El mapa regional presenta el desvío promedio de los pronósticos diarios de viento a 10 metros en relación a las mediciones satelitales durante los últimos dos meses de predicciones. Note que áreas con valores positivos o negativos indican una sobre o subestimación de las predicciones, respectivamente.

Haz click en la imagen para verla en tamaño completo (se abrirá una nueva pestaña)

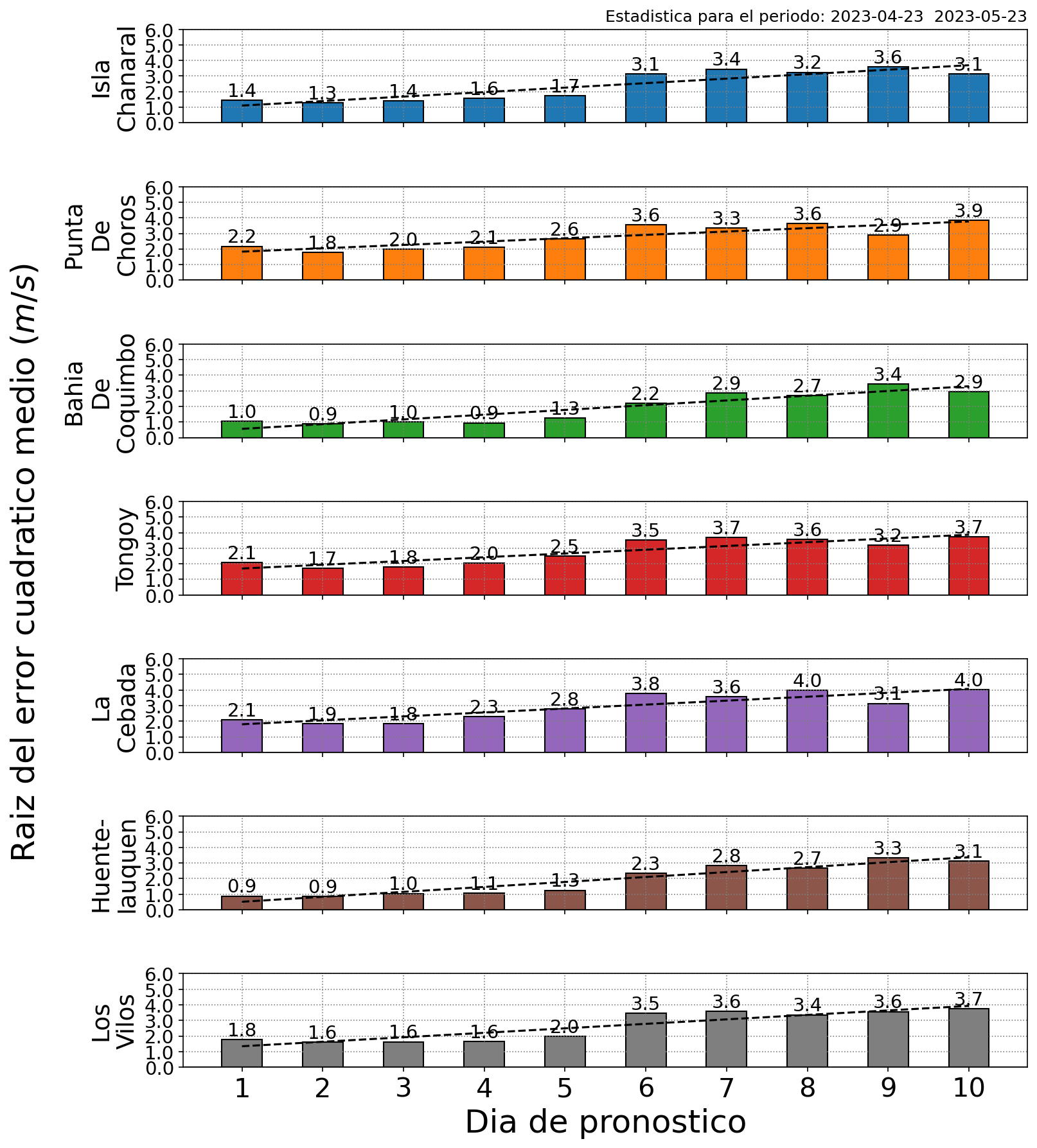
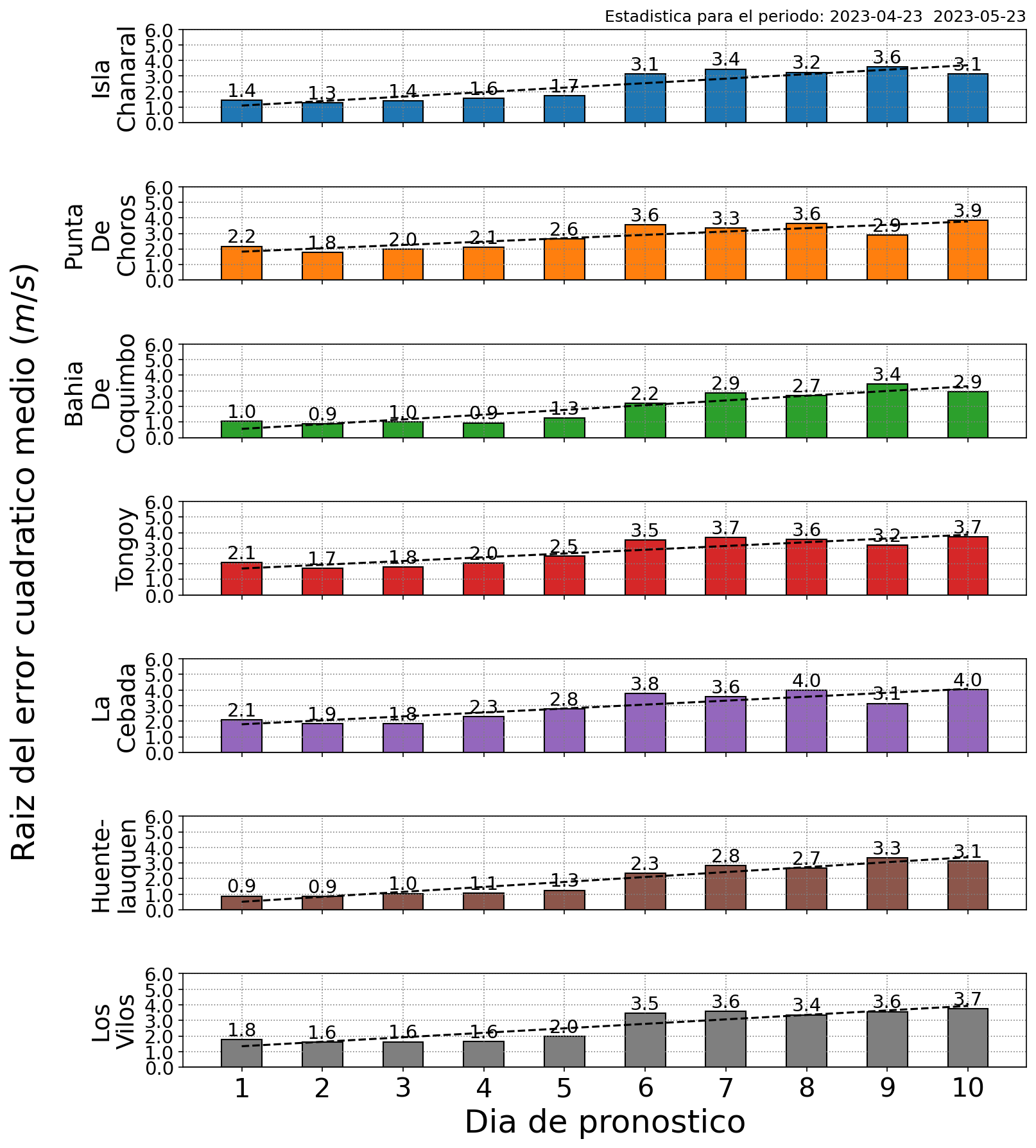
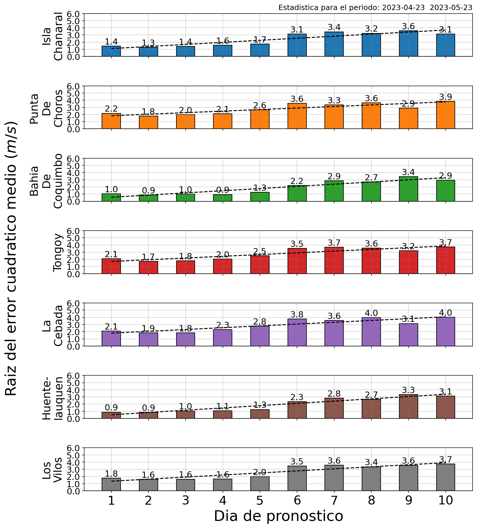
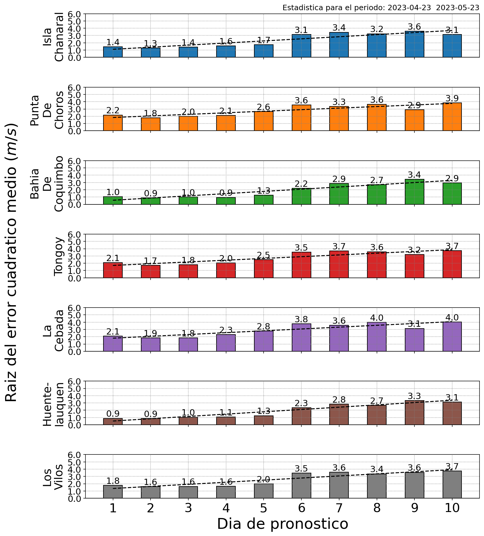
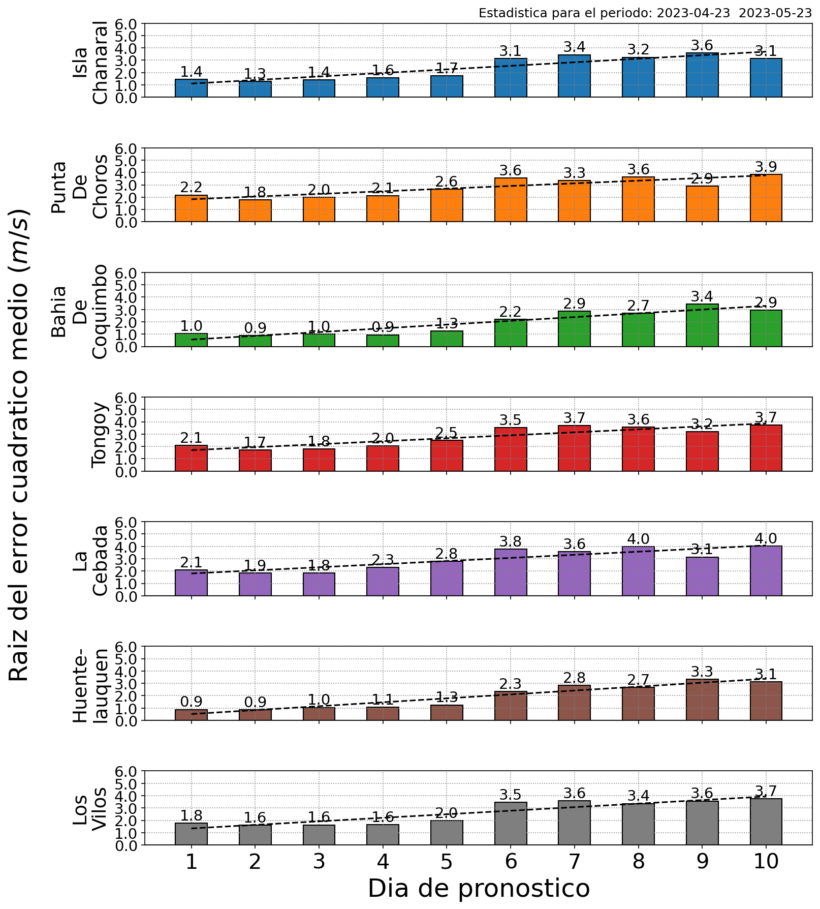
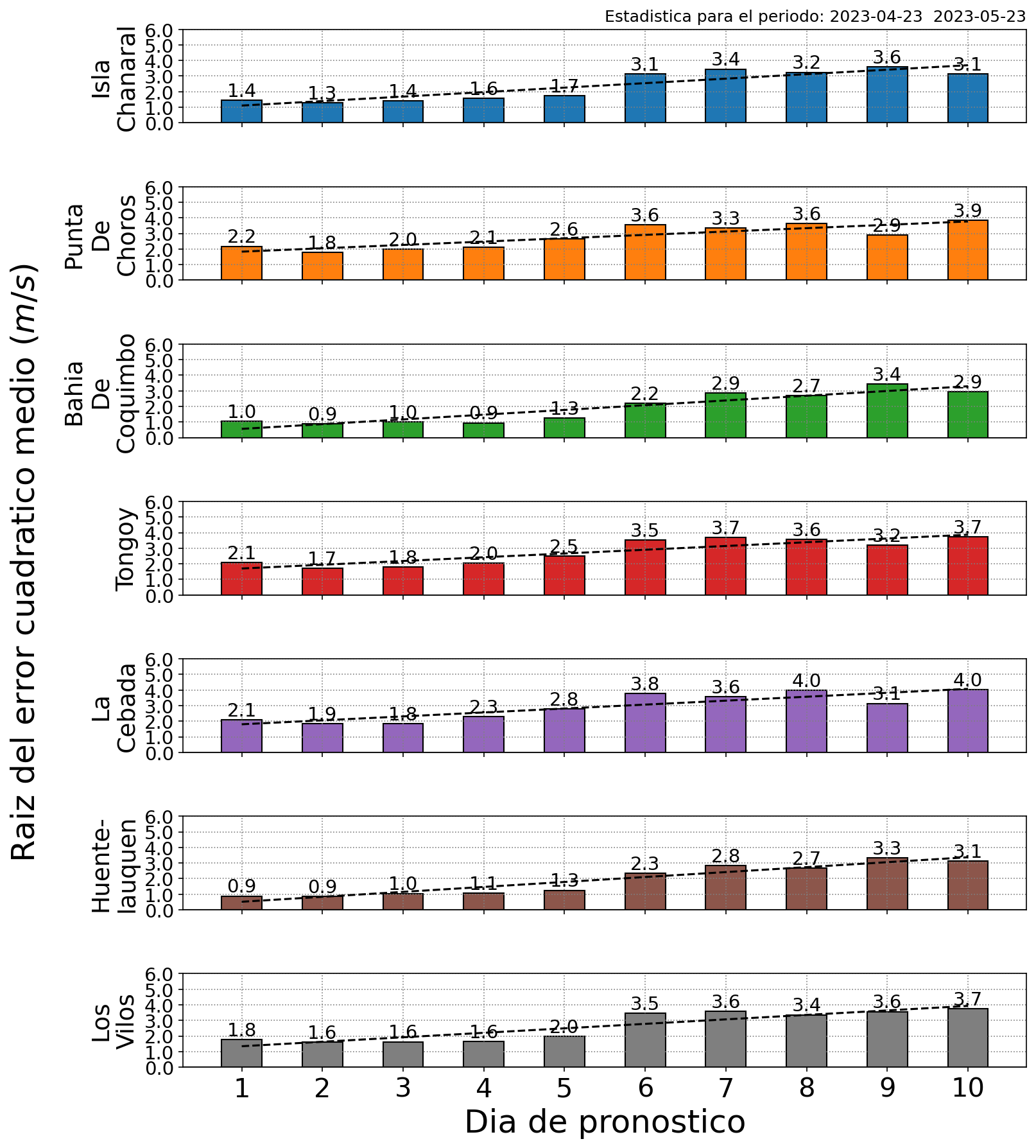
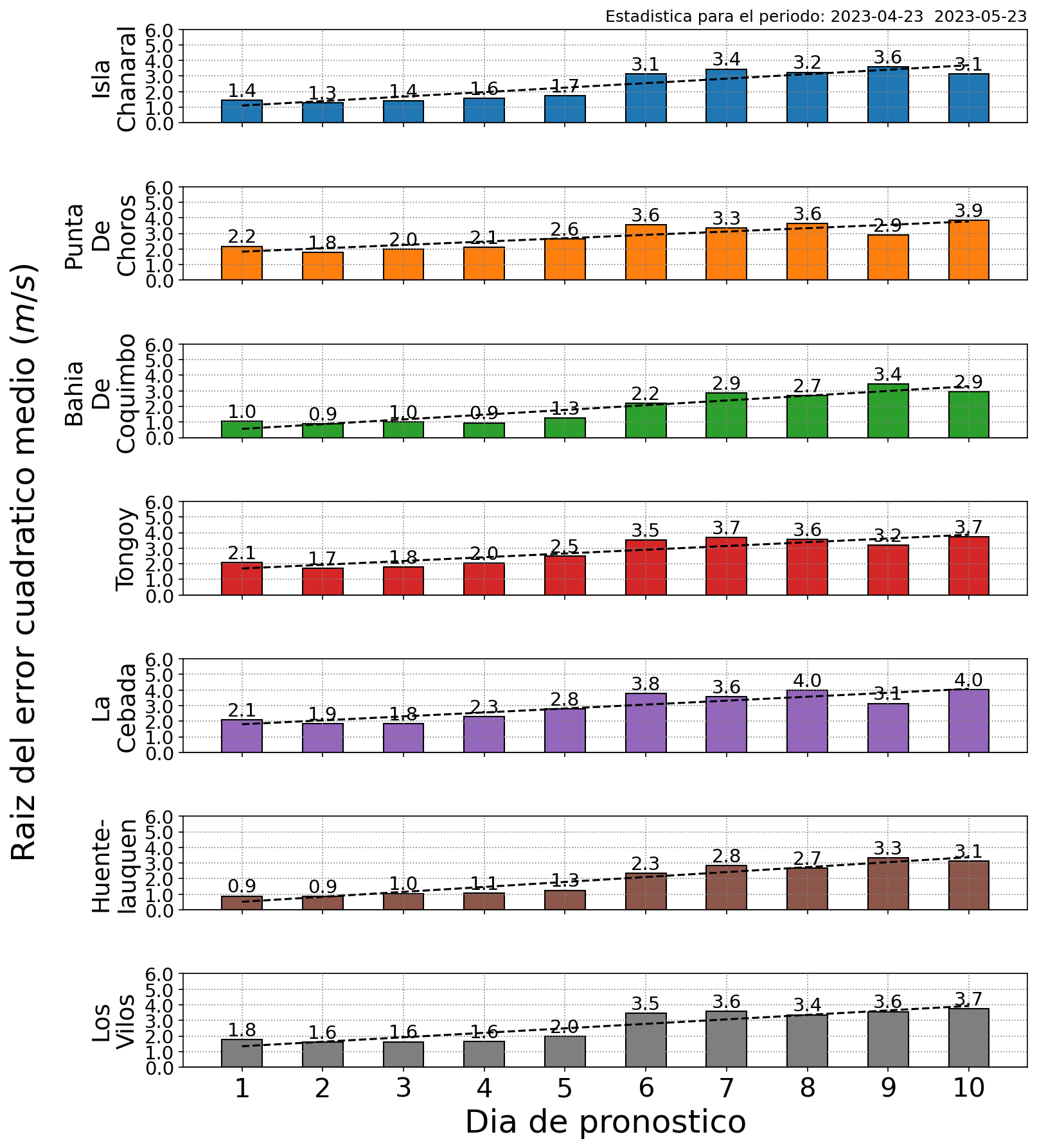
Error diario del pronóstico de viento a 10 metros para las localidades costeras

Los gráficos de barras presentan el error promedio de los pronósticos diarios de viento a 10 metros para cada una de las localidades costeras en análisis. La estadística se construye en base a las mediciones satelitales de los últimos dos meses de predicciones.

Haz click en la imagen para verla en tamaño completo (se abrirá una nueva pestaña)